PiscesLogoSmallerStill SHE analysis

Top  Previous  Next

 

SHE analysis examines the relationship between S (species richness), H (information the Shannon-Wiener diversity index) and E (evenness as measured using the Shannon-Wiener evenness index, otherwise known as Pielou J) in the samples. It is therefore an approach to look at the contribution of species number and equitability to changes in diversity. SHE analysis follows the way these parameters changes with increasing sampling effort.

 

The output shows a spreadsheet and plot of S, H and E for all selected samples.

 

SHE analysis is useful for identifying ecotones (regions where different ecological communities intersect, such as the edge of lakes) (Hayek & Buzas, 1997). It is also thought to be a useful method for testing whether the data conform most closely to a log-normal, log-series or MacArthur's broken stick model. It is probably the most effective practical method for testing for 'goodness-of-fit' to these models.

 

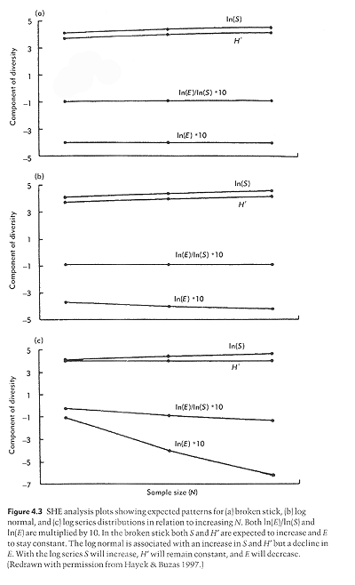
The figure below is reproduced from Magurran 2004 and shows the way in which SHE analysis can be used to identify the fit to broken stick, log normal and log series species abundance distributions. Each model shows a different response in equitability and species richness with increased sampling effort.

 

she