PiscesLogoSmallerStill 2nd Order jackknife

Top  Previous  Next

 

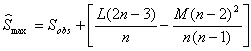
Burnham & Overton (1978) developed the second-order jackknife estimator:

 

_bm51

 

where L is the number of species only found in one sample and M is the number of species only found in two samples.