PiscesLogoSmallerStill Beta diversity indices

Top  Previous  Next

 

β diversity measures the increase in species diversity along transects and is particularly applicable to the study of environmental gradients. It measures two attributes, the number of distinct habitats within a region and the replacement of species by another between disjoint parts of the same habitat. All of the selected samples in the active data set will be used to calculate the indices. It is assumed that the samples are arranged in the data grid in their order of occurrence along the transect.

 

The output can be printed by choosing File: Print, and copied by

Choosing Edit: Copy
Clicking in the output window and using Ctrl+C
Right-clicking in the output window and selecting Copy

 

The six indices calculated, which are described below are those considered by Wilson and Schmida (1984). All six only require presence/absence data.

1. Whittaker's βw

 

 

where S = the total number of species and α the average species richness of the samples. All samples must have the same size (or sampling effort).

 

2. Cody's βc

 

clip0003

 

where g(H) is the number of species gained and l(H) the number lost moving along the transect.

 

3, 4, & 5. Routledge's βR, βI and βE

 

clip0004

 

where S is the total species number for the transect and r the number of species pairs with overlapping distributions.

Assuming equal sample sizes,

 

clip0005

 

where ei is the number of samples along the transect in which species i is present and αi the species richness of sample i and T is Σei.

The third of Routledge's indices is simply 

 

clip0009

 

6. Wilson and Schmida's βT

 

clip0010

 

where the parameters are defined as for βc and βw.

 

Based on an assessment of the essential properties of a useful index: ability to detect change, additivity, independence of α and independence of sample size Wilson and Schmida (1984) concluded that βw was best. Schmida and Wilson's own measure, 'T' came a close second in that study.

 

7. Harrison 1

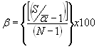
This is a modification of Whittaker's measure and is given by the equation:

 

where α the average species richness of the samples. This measure ranges from 0 (no species turn over) to 100 (every sample holds a unique set of species).  This measure allows transects of different size to be compared.

 

8. Harrison 2

A second modification of Harrison given by the equation:

 

where α the maximum species richness in any one sample. This modification is insensitive to species richness.